您好,欢迎来到基督复临安息日会官网
繁
简
各地教堂
教会动态
圣经研读
怀氏著作
布道信息
视频中心
音乐殿堂
宗教政策
专栏汇聚
搜索
首页
>
音乐殿堂
>
颂赞诗歌本
颂赞诗歌本(707)老版
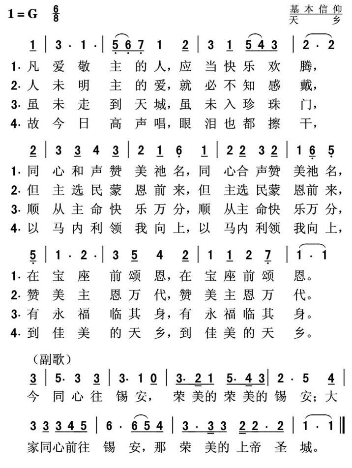
243、奔向锡安
目录
收藏
友情链接
中央统战部
国家宗教事务局
中国反邪教网
中国基督教网
各地教堂
教会动态
圣经研读
怀氏著作
布道信息
视频中心
音乐殿堂
宗教政策
关于我们
联系方式
网站声明
浙ICP备12047548号 浙民宗备(2022)0000033号
浙公网安备33032602100278号
账号登录
忘记密码
我还没有账号,
马上注册 》